Решите пример! (дробями по действиям) и ответ
Предмет:
АлгебраАвтор:
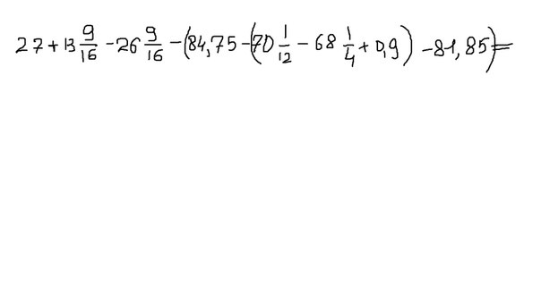
antero9ayi1) 70 1/12 - 68 ¼ = 1 10/12
2) 1 1/10 + 9/10= 110/60 + 54/60=164/60
3) 8475/100-164/60 = 50850/600-1640/600 = 49210/600
4) 49210/600 - 49110/600 = 100/600 = 1/6
5) 27 + 13 9/16 = 40 9/16
6) 40 9/16 - 26 9/16 = 14
7) 14 - 1/6 = 13 6/6 - 1/6 = 13 5/6
Ответ: 13 5/6
Автор:
karleecastanedaДобавить свой ответ
Помогите плз. Составьте формулы одного гомолога и двух изомеров для пентановой кислоты. Назовите все вещества по международной номенклатуре
Синтаксический разбор предложения
Это, по всей вероятности, нам удалось бы, но один из путников решил над ним подшутить.
Предмет:
Русский языкАвтор:
clairearreОтветов:
Смотреть
Предмет:
ЛитератураАвтор:
carenОтветов:
Смотреть