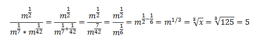
• Найдите значение выражения [tex] \frac{ \sqrt{m} }{ \sqrt[7]{m}* \sqrt[42]{m} } [/tex]
    При m=125

Ответы 1

  • Ответ=5

    Смотри прикрепленный файл

    answer img
    • Автор:

      damonlumv
    • 2 года назад
    • 3
  • Добавить свой ответ

Еще вопросы

Войти через Google

или

Забыли пароль?

У меня нет аккаунта, я хочу Зарегистрироваться

How much to ban the user?
1 hour 1 day 100 years