• Помогите с математикой:
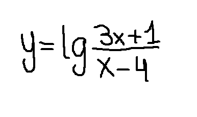
    Найдите область определения

    question img

Ответы 1

  • Найдите область определенияy=lg((3x+1)/(x-4)) (3x+1)/(x-4)>0     +                                -                              +-////////////////////(-1/3)-------------------------(4)//////////////////////////////////ответ: x∈(-∞;-1/3)∪(4;∞)
    • Автор:

      ricky154
    • 6 лет назад
    • 0
  • Добавить свой ответ

Еще вопросы

Войти через Google

или

Забыли пароль?

У меня нет аккаунта, я хочу Зарегистрироваться

How much to ban the user?
1 hour 1 day 100 years