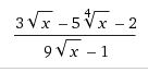
введем замену переменной
3t²-5t-2=0
D=25+24=49
//////////////////////////////////////////////////////////////////////////////////////////////////////////////////////////////////////////////////
Автор:
dragonflyouprДобавить свой ответ
как разбить на слоги подорожник, дорожный
Предмет:
Русский языкАвтор:
dunceОтветов:
Смотреть
1.Из этих слов выпиши то, в котором букв больше чем звуков: ящерица, слепень, ясень,двери,поехать. 2.Из этих слов выпиши то, в котором есть гласные только первого ряда: катер,уютный,паук,енот,бояться.
Предмет:
Русский языкАвтор:
jamirleblancОтветов:
Смотреть
Предмет:
ФизикаАвтор:
carleymcldОтветов:
Смотреть
Complete the sentences with the correct form of the verb.
1. Where is Jack? - He plays / is playing football in the park.
2. What are you doing? - I watch / am watching a TV show.
3. What foreign languages do you speak? - I speak / am speaking French.
4. Look! Our puppy sleeps / is sleeping in the hall.
5. My granddad reads / is reading his newspaper every morning.
6. Please call me later! We have / are having a party.
Предмет:
Английский языкАвтор:
josiah24Ответов:
Смотреть