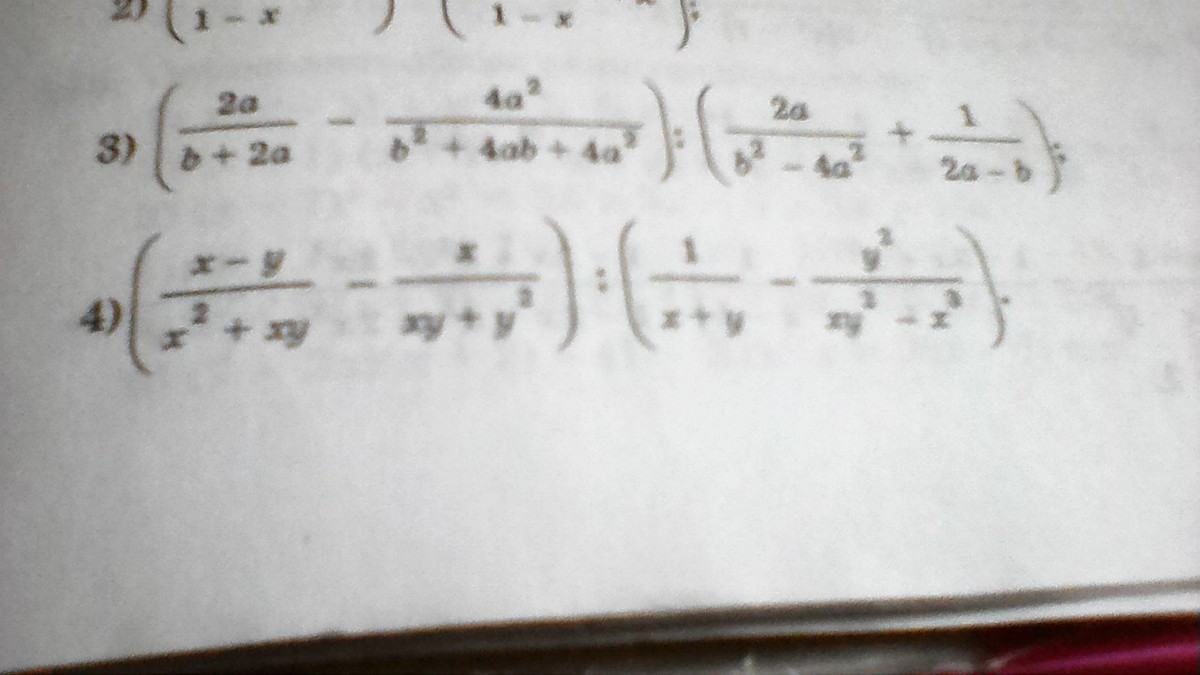
• Срочно! 20 баллов! Алгебра 7 класс. Упростите выражение.

    question img

Ответы 2

  • А в третьем что?
  • тут решается все подействиям. затем все сокращается и получается 1. смотри рисунок
    answer img
    • Автор:

      octavio15
    • 6 лет назад
    • 0
  • Добавить свой ответ

Еще вопросы

Войти через Google

или

Забыли пароль?

У меня нет аккаунта, я хочу Зарегистрироваться

How much to ban the user?
1 hour 1 day 100 years