Найти число целых решений неравенства.
См. вложения.
Предмет:
АлгебраАвтор:
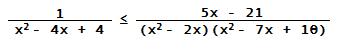
jackpotlindseyОтвет:3 решения.перенсем все в левую сторону.Приведем к общему знаменателю.В итоге должно получится: х2-10х+2 / х(х-2)^2 (х-5).В числителе дискриминант отрицательный,значит выражение всегда положительно и можно на него сократить. Остается только знаменатель. Если сделать методом интервалов,то решениями будут числа :1,3,4.
Автор:
amoreimfp1/(x^2-4x+4)<=(5x-21)/((x^2-2x)(x^2-7x+10)1/(x-2)^2-(5x-21)/(x(x-2)(x-2)(x-5)<=01/(x-2)^2-(5x-21)/(x(x-2)^2(x-5)<=0((x-7)(x-3))/(x(x-5)(x-2)^2)<=0...0<x<22<x<=35<x<=7
Автор:
mitchell170Добавить свой ответ
анализ стихотворения ахматовой "молитва"
Предмет:
ЛитератураАвтор:
kiannaОтветов:
Смотреть
сочинение на тему здоровый образ жизни,5-6 предложений
Предмет:
ОбществознаниеАвтор:
pepper65Ответов:
Смотреть
При нагревании тела от 10` С до 30` С было потрачено 24 КДж теплоты.С какого материала изготовлено тело ,если : 1)оно имеет массу 1,5 кг; 2)оно имеет массу 5 кг.