В четвёртом слагаемом в числителе 14 корней из 3 же?
Продифференцируем функцию:
y'(x) = (14 корней из 3)sinx/3 - (7 корней из 3)/3 = ((7 корней из 3)/3) * (2sinx - 1)
Знаем, что sinx на заданном интервале возрастает от 0 до 1. Значит, производная функции будет сначала отрицательной (пока sinx < 1/2), а после этого положительной - функция сначала убывает, а потом нарастает. Следовательно, наименьшее значение она приобретёт в точке смены знака производной - там где sinx=1/2. x равен п/6
Подставим эти значения в исходную функцию:
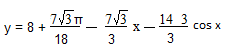
y = 8 + (7 корней из 3)п/18 - (7 корней из 3)x/3 - (14 корней из 3)cosx/3
y = 8 + (7 корней из 3)п/18 - (7 корней из 3)п/18 - (14 корней из 3)(корень из 3)/6
y = 8 - (14 корней из 3)(корень из 3)/6 = 8 - 14*3/6 = 1
Ответ: y=1
Автор:
ashlynДобавить свой ответ
Предмет:
МатематикаАвтор:
smileyt1pwОтветов:
Смотреть
расшифруйте схему превращений:
+H2O [O] +C2H5OH
CaC2--> X1 --> CH3-COH ---> X2 ---> X3----> CH3COOH
Предмет:
ЛитератураАвтор:
freedomgrossОтветов:
Смотреть
Коэффицент полезного действия тепловой машины равен 15%. Какое количество теплоты передано от нагревателя рабочему веществу за время, в течение которого машиной совершена полезная работа 150Дж