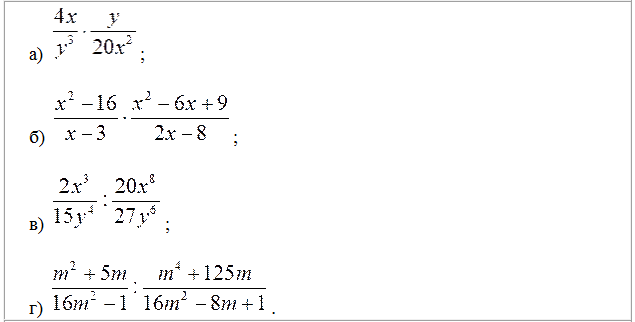
• Пожалуйста помогите как это решить? Алгебра 8 класс просто умножение деление !

    question img

Ответы 6

  • там 2х-8=2(х-4)
    • Автор:

      collin661
    • 6 лет назад
    • 0
  • ясно посмотришь ответ на ответы маил ру?
  • https: //otvetmailru/question/189986752
  • там надо поставить otvet.mail(точка)ru
    • Автор:

      aires
    • 6 лет назад
    • 0
  • ну и убрать пробел после хттп
  • !!!!!!!!!!!!!!!!!!!!!!!!!!!!!!!!!
    answer img
    • Автор:

      makhifihg
    • 6 лет назад
    • 0
  • Добавить свой ответ

Войти через Google

или

Забыли пароль?

У меня нет аккаунта, я хочу Зарегистрироваться

How much to ban the user?
1 hour 1 day 100 years