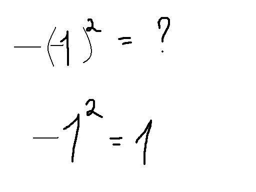
• Чему равно первое выражение?
    Я запутался -___-

    question img

Ответы 2

  • ..........-(-1)²=-1.
    • Автор:

      axelrsuy
    • 6 лет назад
    • 0
  • -(-1)^2=-[(-1)*(-1)]=-(1)=(-1)
    • Автор:

      mariana72
    • 6 лет назад
    • 0
  • Добавить свой ответ

Войти через Google

или

Забыли пароль?

У меня нет аккаунта, я хочу Зарегистрироваться

How much to ban the user?
1 hour 1 day 100 years