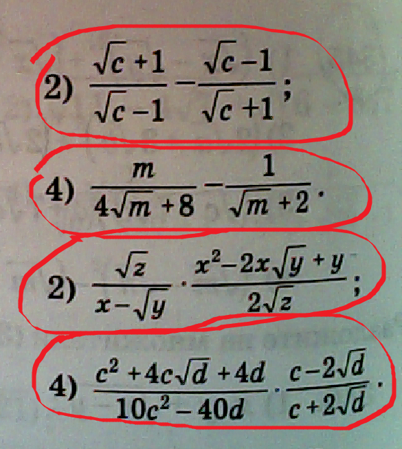
• ПОМОГИТЕ СРОЧНО! смотрите на фото ДАМ 80 БАЛЛОВ если упростите все выражения которые отмечены красным кружком
    Упростите выражение

    question img
    question img
    question img

Ответы 1

  • Состав молекул углеводородов соответствует общей формуле CnH2n +2. К какому классу веществ могут относиться эти углеводороды?
  • Добавить свой ответ

Войти через Google

или

Забыли пароль?

У меня нет аккаунта, я хочу Зарегистрироваться

How much to ban the user?
1 hour 1 day 100 years