• 1.Вычислите:
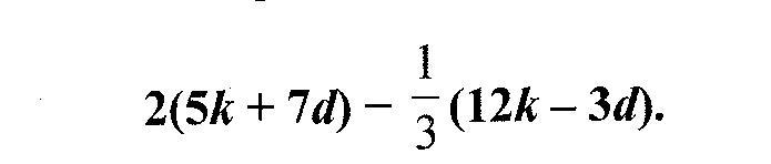
    2.Раскройте скобки и приведите подобные слагаемые.
    Решите пожалуйста!!!

    question img
    question img

Ответы 3

  • да нет во 2
  • там можно сократить немного. (-1целая 5/7)
  • Здесь не нужно раскрывать скобки. Уточните пожалуйста свой вопрос.
    answer img
  • Добавить свой ответ

Еще вопросы

Войти через Google

или

Забыли пароль?

У меня нет аккаунта, я хочу Зарегистрироваться

How much to ban the user?
1 hour 1 day 100 years