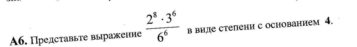
• представьте выражение в виде степени с основанием 4.
    С объяснением пожалуйста!!!

    question img

Ответы 1

  •  возводится в 4 степень получается 16; 3 возв. в 4 ст. получаеся 81; 6 возв в 4 степ. получ 1296 зате 16 умножается на 81 получается 1296 затем 1296 делится на 1296 = 1....вроде бы так!!!

    • Автор:

      merritt
    • 6 лет назад
    • 0
  • Добавить свой ответ

Войти через Google

или

Забыли пароль?

У меня нет аккаунта, я хочу Зарегистрироваться

How much to ban the user?
1 hour 1 day 100 years