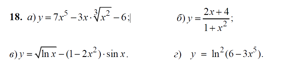
• Найти производные данных функций и их дифференциалы.
    (если можно распишите)

    question img

Ответы 5

  • маг! где вы нашли эти решения?)
  • сам решаю. вообще-то, производные - это очень просто, а вот интегралы...
  • просто, но за годы все забывается)
  • вот я и решаю, чтобы не забыть
    • Автор:

      tian5ft
    • 6 лет назад
    • 0
  • решение смотри во вложении
    answer img
  • Добавить свой ответ

Войти через Google

или

Забыли пароль?

У меня нет аккаунта, я хочу Зарегистрироваться

How much to ban the user?
1 hour 1 day 100 years