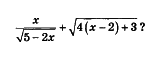
• При каких значениях х имеет смысл выражение x/√5-2x + √4(x-2)+3

    question img

Ответы 3

  • Скажите , почему убирается знак корня ?
  • Значение квадратного корня - всегда неотрицательное число (>=0). Но и подкоренное выражение должно также быть числом неотрицательным, если не находится в знаменателе.
    • Автор:

      sashal3bp
    • 6 лет назад
    • 0
  • V- знак корня{V(5-2x)>0{V(4(x-2)+3>=0{5-2x>0;-2x>-5; 2x<5; x<5/2{4x-8+3>=0;4x>=5; x>=5/4________[5/4]____________                    /////////////////////_________________(5/2)___//////////////////////////////Ответ: x e [5/4; 5/2)
  • Добавить свой ответ

Войти через Google

или

Забыли пароль?

У меня нет аккаунта, я хочу Зарегистрироваться

How much to ban the user?
1 hour 1 day 100 years