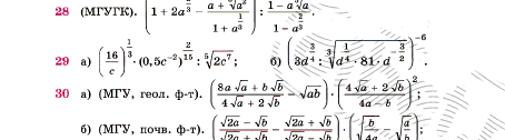
• Упростите пожалуйста выражение, №29, если можно, с подробнейшим решением, очень-очень нужно

    question img

Ответы 1

  • Я не очень уверен в правильности
    answer img
    • Автор:

      petey
    • 6 лет назад
    • 0
  • Добавить свой ответ

Войти через Google

или

Забыли пароль?

У меня нет аккаунта, я хочу Зарегистрироваться

How much to ban the user?
1 hour 1 day 100 years