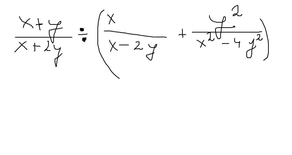
• упростите выражение и найдите значение этого выражения при x=1,8 и y=0.6

    question img

Ответы 1

  • Сначала упростим выражение в скобке: Первую дробь домножим и поделим на х+2y,чтобы получить разность квадратов. (х^2+2yx+y^2)/(x^2-4*y^2) = (x+y)/((x+2y)*(x-2y))Теперь подставляем и  получаем такое выражение: (х+y)/(x+2y) *((x+2y)*(x-2y))/(x+y)^2, сокращаем и у ас остается (х-2у)/(х+у).Подставляем значения: (1,8-1,2)/(1,8+0,6)= 0,6/2,4 = 0,25
    • Автор:

      cutie pie
    • 6 лет назад
    • 0
  • Добавить свой ответ

Еще вопросы

Войти через Google

или

Забыли пароль?

У меня нет аккаунта, я хочу Зарегистрироваться

How much to ban the user?
1 hour 1 day 100 years