• СРОЧНО ПОЖАЛУЙСТА ПОМОГИТЕ(((( ЭТО НЕ СЛОЖНО ДЛЯ ТЕХ КТО ШАРИТ В АЛГЕБРЕ
    ПОЖАЛУЙСТА((

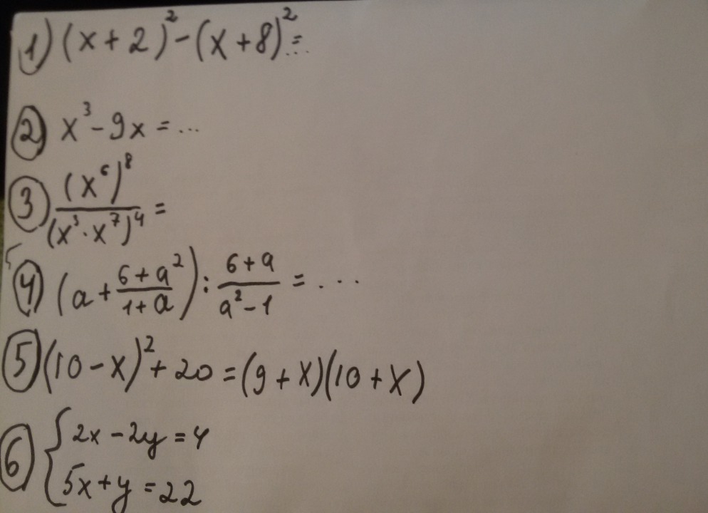
    question img

Ответы 4

  • Спасибо))):* живи вечно^-^*
  • спасибо)))) живи вечно:*))))
    • Автор:

      halle
    • 6 лет назад
    • 0
  • 1) (x+2)^2-(x+8)^2=...приводим: x^2+4-x^2-8^2=...числа переносим за равно: x^2-x^2=64-4теперь решаем: x=602) x^3-9x=...x^3-x=9x^2=3x^2=3^2 или x=33)    (x^6)^8    --------------- =...    (x^3*x^7)^4              x^48    ---------------        (x^21)^4                     x^48равно:    ---------------                    x^84          6+a^2    6+a4) (a+---------):-------=...            1+a     a^2-1(a+6+a):(-6-a)=...(a^2+6):(-6-a)=...a^2+6=6+aa^2-a=6-6a=05)(10-x)^2+20=(9+x)(10+x)10^2-x^2+20=90+9x+10x+x^2120-x^2=90+19x+x^2120-90=19x+x^2-x^219x=30(не уверен)6)                                                                                             22x-2y=4      2x=4+2y             2x=4+2y       2x=4+2*2/11   x=2--               =                          =                   =                     =      11                                                                                              25x+y=22     5(4+2y)+y=22     20+11y=22  y=2/11             y=---                                                                                              11
    • Автор:

      mandy
    • 6 лет назад
    • 0
  • 1) (х+2)²-(х+8)²= (х+2-(х+8))(х+2+х+8)=(х+2-х-8)(2х+10)=-6*2(х+5)= -12(х+5)2) х³-9х= х(х²-9)=х(х-3)(х+3)3) (х^6)^8 / (х^3 * х^7)^4=х^6*8 / (х^3+7)^4=х^48 / х^10*4=х^48-40= х^84) (а + (6+а²)/(1+а)) : (6+а / а²-1)=((а(1+а)+6+а²) / (1+а)) : (6+а / (а-1)(а+1) =((а+а²+6+а²) / (1+а)) * (а-1)(а+1) / 6+а =(2а²+а+6) * (а-1) / 6+а5) (10-х)²+20=(9+х)(10+х)100-20х+х²+20=90+10х+9х+х²х²-20х-х²-19х=90-120-39х=-30х=-30/(-39)х=10/136) 2х-2у=45х+у=22 |*210х+2у=44сложим уравнения2х+10х-2у+2у=4+4412х=48х=45х+у=22у=22-5ху=22-5*4=22-20=2Ответ: (4;2)
    • Автор:

      berry
    • 6 лет назад
    • 0
  • Добавить свой ответ

Войти через Google

или

Забыли пароль?

У меня нет аккаунта, я хочу Зарегистрироваться

How much to ban the user?
1 hour 1 day 100 years