• Помогите решить неравенство с фотографии, пожалуйста !

    question img

Ответы 3

  • Спасибо за решение. Единственное , что я хотела уточнить.
    • Автор:

      niko49
    • 6 лет назад
    • 0
  • Вот в ответе у меня фигурирует (-1;1)
    • Автор:

      puppylynn
    • 6 лет назад
    • 0
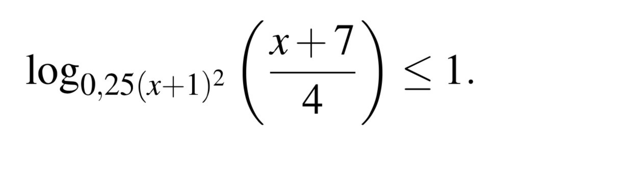
  • ОДЗ0,25(x+1)²≠1(x+1)²≠4x+1≠-2 U x+1≠2x≠-3 U x≠1x+7>0⇒x>-7x∈(-7;-3) U (-3;1) U (1;∞)1)x∈(-7;-3) U (1;∞) основание больше 1(x+7)/4≤(x+1)²/4x+7≤x²+2x+1x²+x-6≥0x1=x2=-1 U x1*x2=-6x1=-3 U x2=2x≤-3 U x≥2x∈(-7;-3) U [2;∞)2)x∈(-3;1) основание меньше 1-3≤х≤2x∈(-3;1)Ответ x∈(-7;-3) U (-3;1) U [2;∞)
  • Добавить свой ответ

Еще вопросы

Войти через Google

или

Забыли пароль?

У меня нет аккаунта, я хочу Зарегистрироваться

How much to ban the user?
1 hour 1 day 100 years