• Ребят, просьба помочь решить 10 тригонометрических уравнений.Ошибаться нельзя-решается судьба годовой оценки.

    question img

Ответы 2

  • Извините, но в 10 (sin x/2-11п/28), но всё равно спасибо вам большое!
    • Автор:

      dillon
    • 6 лет назад
    • 0
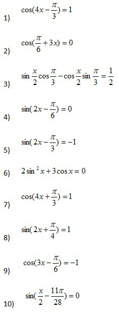
  • 1)Cos(4x - π/3) = 14x - π/3 = 2πk, k ∈Z4x = 2πk + π/3, k ∈Zx = πk/2 + π/12, k∈Z2)Cos(π/6 +3х) = 0π/6 +3х = π/2 + πk , к ∈Z3x = π/2 + πk - π/6, k ∈Z3x = π/3 + πk, k ∈Zx = π/9 + πk/3, k ∈Z3)Sin(x/2 - π/3) = 1/2х/2 - π/3 = (-1)^n arcSin1/2 + nπ, n ∈Z'x/2 -π/3 = (-1)^n π/6 + πn, n ∈Zx/2 = (-1)^n π/6 + πn + π/3, n ∈Zx = (-1)^n π/3 + 2πn + 2π/3 , n ∈Z4)Sin(2x - π/6) = 02х - π/6 = nπ, n ∈Z2x = nπ + π/6, n∈Zx = nπ/2 + π/12, n ∈Z5)Sin(2x -π/3) = -12х - π/3 = -π/2 + 2πk ,к ∈Z2x = π/3  -π/2 + 2πk, k ∈Zx = π/6  -π/4 + πk, k ∈Z6) 2Sin² x +3Cosx = 02(1-Cos²x) + 3Cosx = 02 - 2Cos²x + 3Cosx = 02Cos²x -3Cosx - 2 = 0 Решаем как квадратноеа)Соs x = 2 (нет решений)б) Сos x = -1/2х = +-arcCos(-1/2) + 2πk, k ∈Zx = +- 2π/3 + 2πk, k ∈Z7)Cos(4x + π/3) = 14x + π/3 = 2πk, k ∈Z4x = 2πk - π/3, k ∈Zx = πk/2 - π/12, k∈Z8) Sin(2x + π/4) = 12х + π/4 = π/2 + 2πк, к ∈Z2x = -π/4 +π/2 + 2πк, к ∈Zx = -π/8 + π/4+ πк, к ∈Z9) Cos(3x - π/6) = -13x - π/6 = π + 2πк , к ∈Z3x = π/6 + π + 2πк , к ∈Z3x =7π/6 + 2πк , к ∈Zx = 7π/18 +2πк/3, к ∈Z10) Sin(x/2 + 11π/28) = 0х/2  + 11π/28 = nπ, n ∈Zx/2 = nπ - 11π/28, n∈Zx =2 nπ - 11π/14, n ∈Z
    • Автор:

      heriberto
    • 6 лет назад
    • 0
  • Добавить свой ответ

Войти через Google

или

Забыли пароль?

У меня нет аккаунта, я хочу Зарегистрироваться

How much to ban the user?
1 hour 1 day 100 years