• Решите системы неравенств, с одной переменной (8 класс) Смотреть фото

    question img

Ответы 2

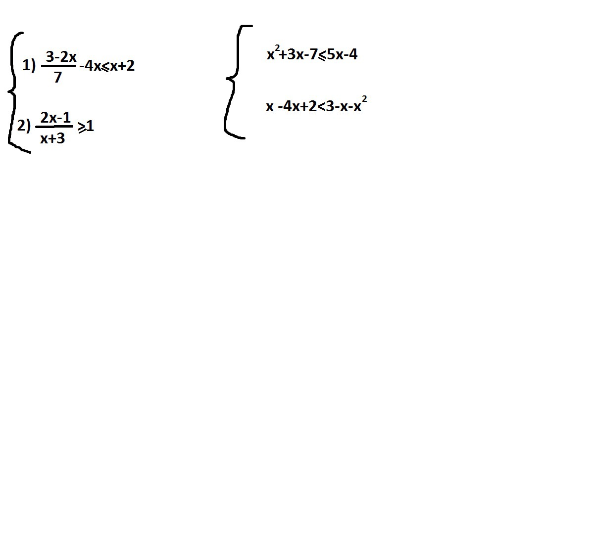
  • то, что сдесь нарисовать не удобно, объяснила словами
  • х²+3х-7 ≤ 5х-4х-4х+2 < 3-х-х²х²+3х-7 ≤ 5х-4х²+3х-7-5х+4 ≤ 0х²-2х-3 ≤ 0х²-2х-3=0D=4-4*(-3)=4+12=16 (4²)x1=2+4/2=6/2=3x2=2-4/2=-2/2=-1(х-3)(х+1) ≤ 0надо построить прямую интервалов с точками -1 и 3.при х ≤ -1 неравенство неверно (выражение принимает положительное значение);при -1≤х≤3 неравенство верное(выражение принимает отрицательное значение);при х ≥ 3 неравенство не верно(выражение принимает положительное значение)Значит решением нашего неравенства является[-1;3]х-4х+2 < 3-х-х²х-4х+2-3+х+х² < 0х²-2х-1 < 0х²-2х-1 = 0D=4-4*(-1)=4+4=8х1=2+√8/2=(2+2√2)/2= 2(1+√2)/2= 1+√2 (~=1+1,4 ~=2,4)х2=2-√8/2=(2-2√2)/2= 2(1-√2)/2= 1-√2 (~=1-1,4 ~=-0,4)(х-(1+√2))(х-(1-√2)) < 0(х-1-√2)(х-1+√2) < 0надо построить прямую интервалов с точками 1+√2 (~2,4) и 1-√2 (~-0,4).при х < 1-√2 неравенство неверно (выражение принимает положительное значение);при 1-√2 < х < 1+√2 неравенство верное(выражение принимает отрицательное значение);при х > 1+√2 неравенство не верно(выражение принимает положительное значение)Значит решением нашего неравенства является(1-√2; 1+√2)теперь определим общее решение системы:начертим новую прямую интервалов [-1;3] и (1-√2; 1+√2)-(-0,4;2,4)-это написано для удобства построенияи найдем пересечение множеств решений.пересечение будет на отрезке:(1-√2; 1+√2), значит это и будет решением нашей системы
    • Автор:

      roseokan
    • 6 лет назад
    • 0
  • Добавить свой ответ

Войти через Google

или

Забыли пароль?

У меня нет аккаунта, я хочу Зарегистрироваться

How much to ban the user?
1 hour 1 day 100 years