• Решите, пожалуйста, примеры!!! Заранее большое спасибо!!!

    question img

Ответы 1

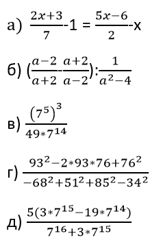
  • а(2x+3)/7 -1= (5x-6)/2 -x      ОЗ 142(2x+3)-14=7(5x-6)-14x4x+6-14=35x-42-14x4x-21x=-42+8-17x=-34x=2б1)(a-2)/(a+2)-(a+2)/(a-2)=[(a-2)²-(a+2)²]/(a²-4)=(a²-4a+4-a²-4a-4)/(a²-4)==-8a/(a²-4)2)-8a/(a²-4):1/(a²-4)=-8a/(a²-4)*(a²-4)=-8aв(7^5)^3/(49*7 ^{14} )=7 ^{15-2-14} =7 ^{-1}=1/7 г(93²-2*93*76²)/(-68²+51²+85²-34²)==(93-76)²/[(85-68)(85+68)+(51-34)(51+34)]==17²/(17*153+17*87)=17²/[17(153+87)]=17²/(17*240)=17/240д5*(3*7 ^{15} -19*7 ^{14} )/(7 ^{16} +3*7 ^{15} )=5*7 ^{14}*(21-19)/[7 ^{15}  (7+3)]=5*2/(7*10)=1/7
  • Добавить свой ответ

Еще вопросы

Войти через Google

или

Забыли пароль?

У меня нет аккаунта, я хочу Зарегистрироваться

How much to ban the user?
1 hour 1 day 100 years