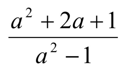
• упростите выражение, напишите более подробно, заранее спс

    question img

Ответы 1

  • формулы сокращенного умножения=(а+1)^2 /(а-1)(а+1)==(а+1)/(а-1)^2 это в квадрате
  • Добавить свой ответ

Войти через Google

или

Забыли пароль?

У меня нет аккаунта, я хочу Зарегистрироваться

How much to ban the user?
1 hour 1 day 100 years