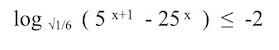
• Решить неравенство, 10-ый класс (см. вложение) = 35 баллов

    question img

Ответы 2

  • //////////////////////////////////////////////////////
    answer img
  • ОДЗ5^(x+1)-25^x>05^x=a5a-a²>0a(5-a)>0a=0  a=50<a<5⇒0<5^x<5⇒x<1x∈(-∞;1)5^(x+1)-25^x≥65^x=aa²-5a+6≤0a1+a2=5 U a1*a2=6⇒a1=2 U a2=32≤a≤3⇒2≤5^x≤3⇒log(5)2≤x≤log(5)3Ответ x∈[log(5)2;log(5)3]
    answer img
  • Добавить свой ответ

Войти через Google

или

Забыли пароль?

У меня нет аккаунта, я хочу Зарегистрироваться

How much to ban the user?
1 hour 1 day 100 years