Помогите пожалуйста решить уравнение.Срочно. ! -- это факториал
(4m - 1)! /(4m-3)!=(4m-3)!(4m-2)(4m-1)/(4m-3)!=(4m-2)(4m-1)=16m^2-12m+2
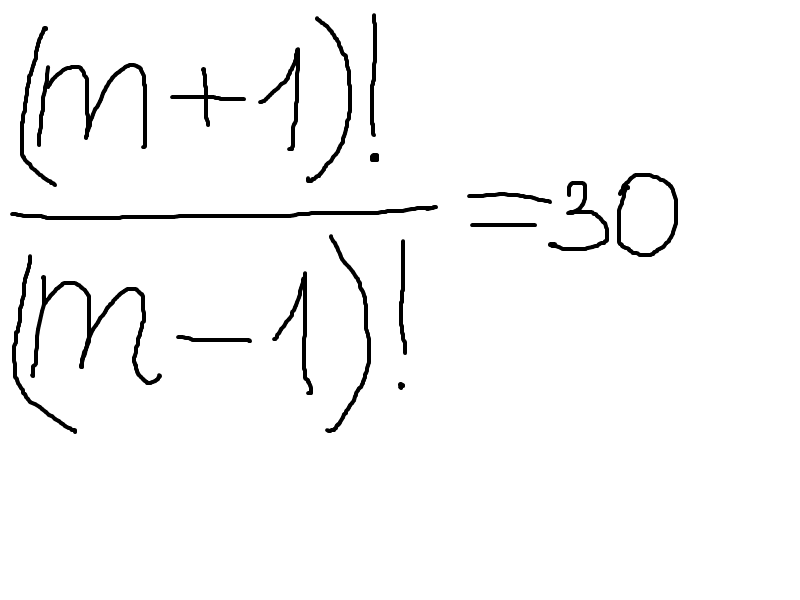
(m+1)!/(m-1)!=(m-1)!(m+1)m/(m-1)!=(m+1)m
m(m+1)=30
m^2+m=30
m=-6
m=5
Отрицательное значение увбираем(отрицательный факториал?)
Ответ: m=5.
(Не слишком подробно написал, но думаю что все будет понятно, если что, пишите в ЛС)
Автор:
bella7yvbДобавить свой ответ
Особенности внешнего строения лягушки.Опишите форму её тела,окраску спины и брюшка
Предмет:
БиологияАвтор:
rogercaseyОтветов:
Смотреть
Составить уравнения реакций c помощью которых можно совершить превращенияFeS-H2S - SO2 -Na2SO3 -Na2S2O3-Na2SO4 . ПЛИИИИЗ!!!!
сумма каких двух чисел равна их разности
Предмет:
МатематикаАвтор:
justicecolonОтветов:
Смотреть
назавите формулы молекул галогенов тип связи кристалическая решётка