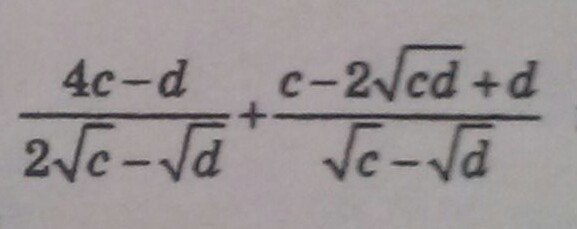
• упростите выражение и вычислите его значение при c=1/25 и d=1,9

    question img

Ответы 2

  • пожалуйста
  • извини, начиркал, знак сначала не тот списал
    answer img
    • Автор:

      warren71
    • 6 лет назад
    • 0
  • Добавить свой ответ

Войти через Google

или

Забыли пароль?

У меня нет аккаунта, я хочу Зарегистрироваться

How much to ban the user?
1 hour 1 day 100 years