• РЕШИТЕ СИСТЕМУ УРАВНЕНИЙ !!!!

    РЕБЯТКИ СРОЧНООО 

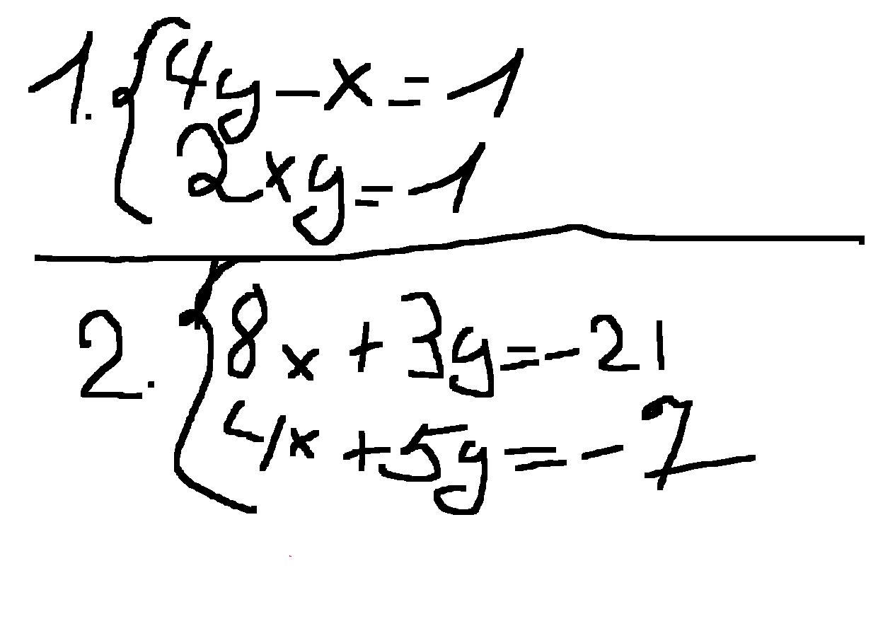
    question img

Ответы 1

  • Все ответы правильные,я сделала проверку,просто не стала писать, уже устала . Ответы правильные!!!

    1.  значок системы поставишь сам я поставлю дробь где надо ставить

    ^2 означает в квадрате

     

    Выразим из первого выражения системы х через у и подставим во второе

     /  4y-x=1

     /   2xy=1

    ______

    /    -x=1-4y

    /     2xy=1

    _______

     /     x=4y-1

     /     2y(4y-1)=1

    ________

      /     x=4y-1

     /      8y^2 - 2y = 1

    ___________

           

     

    8y^2-2y=1

     

    8y^2-2y-1=0

    D=b^2-4ac

    D=4+32=36

    корень из дискриминанта = 6 (6 в квадрате = 36)

    найдем корни квадратного уравнения

     

    х первое(обозначается 1 внизу х) = (-b+ корень D) и это все поделить на 2а

    х второе(обозначается 2 внизу х)  =(-b - корень D) и это все поделить на 2а

    х1=2+6  и это поделить на 16 = 8/16=0,5

    х2=2-6 и это поделить на 16= -4/16=-4

    теперь найдем  y при двух значениях х

    1) первый случай  х=0,5

    подставим это в одно из выражения системы чтобы узнать y

    х=4у-1

    0,5=4у-1

    4у=1,5

    у=3/8

    у=0,375

     

    2)второй случай х= - 4

    х=4у-1

    -4=4у-1

    4у=-3

    у=-3/4

    у=-0,75

    Ответ: (0,5;0,375) и (-4;-0,75)

     

     

    2. Эту систему мы решим способом сложения. Для этого на нужно чтобы хоть один коэффициент был равен другому(т.е. например перед х в первом 8 а во втором 4 нам нужно сделать так чтобы во втором выражении было тоже 8 перед х для этого второе выражение умножим на 2)

    /  8х+3у=-21

    /    4х+5у=-7 /*2

    ______________

    /    8х+3у=-21

    /     8х+10у=-14

     

    Теперь из второго уравнения вычитаем первое. Приводим подобные слагаемые и решаем полученное линейное уравнение.

    8х+10у - (8х+3у)= -14 - (-21)

    8х+10у-8х-3у=-14+21

    7у=7

    у=1

     

    Полученное значение подставляем во второе уравнение из нашей исходной системы и решаем получившееся уравнение.

     

    4х+5у=-7

    4х+5=-7

    4х=-12

    х=-12/4

    х=-3

    Ответ: (-3;1)

     

    • Автор:

      angie
    • 6 лет назад
    • 0
  • Добавить свой ответ

Войти через Google

или

Забыли пароль?

У меня нет аккаунта, я хочу Зарегистрироваться

How much to ban the user?
1 hour 1 day 100 years