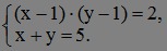
• Найдите произведение х и у, где (х; у) – решение системы:

    question img

Ответы 1

  • Добрый день! Ответ в картинке
    answer img
  • Добавить свой ответ

Войти через Google

или

Забыли пароль?

У меня нет аккаунта, я хочу Зарегистрироваться

How much to ban the user?
1 hour 1 day 100 years