• Не могу понять почему сначала было 4, а потом стало 5. Объясните пожалуйста.

    question img

Ответы 4

  • А почему только перед одной скобкой 1?
    • Автор:

      gunner98
    • 6 лет назад
    • 0
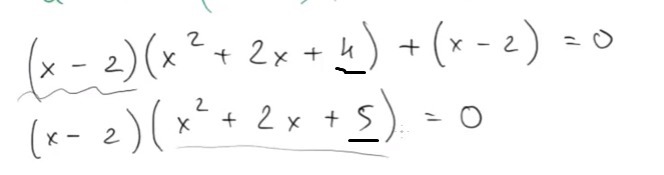
  • я написал 1 перед скобкой, чтобы было понятнее, что у одночленов есть общий множитель - (x-2) и различный множитель у первого одночлена - (x^2+2x+4)
    • Автор:

      kadence
    • 6 лет назад
    • 0
  • а у второго одночлена различного множителя нет, поэтому поставил единицу
  • (x-2) - общий множитель. (x-2)(x²+2x+4)+(x-2)=0(x²+2x+4)*(x-2)+1*(x-2)=0(x²+2x+4+1)*(x-2)=0(x²+2x+5)(x-2)=0можно рассуждать так:ab+ac=a(b+c)
    • Автор:

      alisha61
    • 6 лет назад
    • 0
  • Добавить свой ответ

Войти через Google

или

Забыли пароль?

У меня нет аккаунта, я хочу Зарегистрироваться

How much to ban the user?
1 hour 1 day 100 years