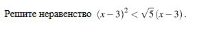
• Решите неравенство. Должно получится два ответа: 3 и 3 + [tex] \sqrt{5} [/tex]
    А как их получить не знаю.

    question img

Ответы 2

  • Я понимаю, что это глупый вопрос, но как получилось второе выражение?
  • (x-3)²-√5(x-3)<0(x-3)(x-3-√5)<0x=3  x=3+√5           +                 _                    +--------------(3)----------------(3+√5)--------------x∈(3;3+√5)
    • Автор:

      kenneth
    • 6 лет назад
    • 0
  • Добавить свой ответ

Войти через Google

или

Забыли пароль?

У меня нет аккаунта, я хочу Зарегистрироваться

How much to ban the user?
1 hour 1 day 100 years