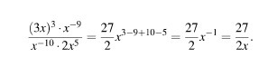
• Дан такой пример с решением (см приложение). Почему Х переходит вниз с изменением знака?

    question img

Ответы 1

  • существует правило по которому можно так записатьх^-1=1/х
    • Автор:

      raven40
    • 6 лет назад
    • 0
  • Добавить свой ответ

Войти через Google

или

Забыли пароль?

У меня нет аккаунта, я хочу Зарегистрироваться

How much to ban the user?
1 hour 1 day 100 years