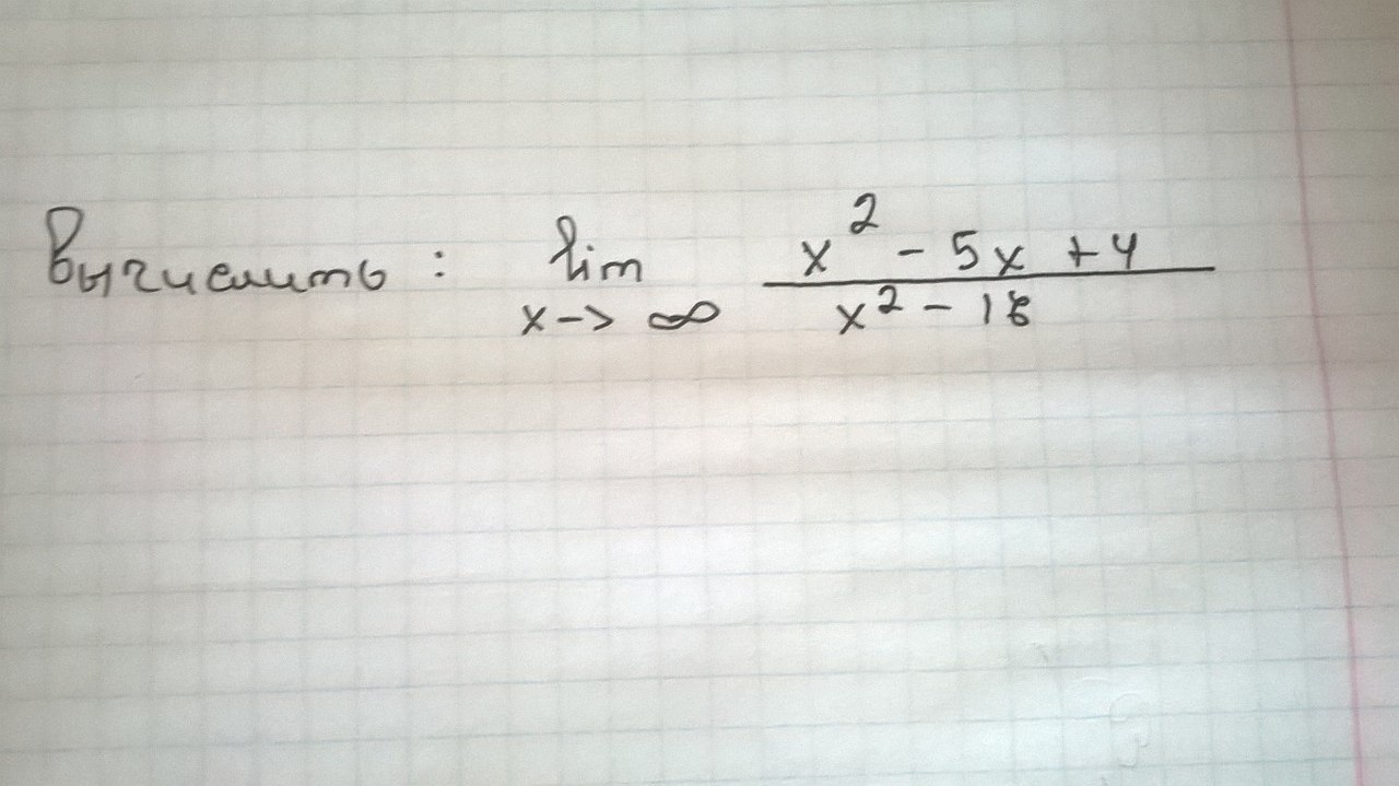
• Помогите решить, в числителе дискриминантом а в знаменателе формула? Решите пожалуйста

    question img

Ответы 1

  •  \lim_{x \to \infty}  \frac{x-1}{x+4}= \frac{ \frac{x}{x}- \frac{1}{x}  }{ \frac{x}{x} + \frac{4}{x} }  = \frac{1-0}{1+0}=1
  • Добавить свой ответ

Войти через Google

или

Забыли пароль?

У меня нет аккаунта, я хочу Зарегистрироваться

How much to ban the user?
1 hour 1 day 100 years