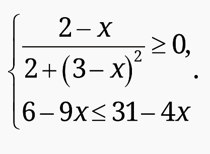
• Решите систему уравнений ( рис.)
    Во первых, ООФ: х^2-6х+11>0
    Дискриминат<0
    а дальше что?? 2-х≥0???
    Во вторых, х≥-5

    question img

Ответы 1

  • в верхней строчке справа написано >0
    answer img
  • Добавить свой ответ

Войти через Google

или

Забыли пароль?

У меня нет аккаунта, я хочу Зарегистрироваться

How much to ban the user?
1 hour 1 day 100 years