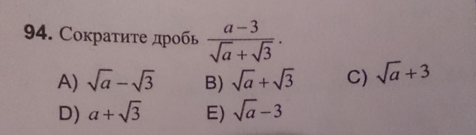
• Решите 94 пример пожалуйста, буду благодарен за помощь

    question img

Ответы 1

  • умножим и числитель и знаменатель на (√a -√3)(a -3) /(√a +√3) =(a -3)(√a -√3) /(√a +√3)(√a -√3) =(a -3)(√a +√3)/(√a^2 -√3^2) =(a -3)(√a +√3) /(a -3) =√a +√3ответ: В) √a +√3
    • Автор:

      misty86
    • 6 лет назад
    • 0
  • Добавить свой ответ

Еще вопросы

Войти через Google

или

Забыли пароль?

У меня нет аккаунта, я хочу Зарегистрироваться

How much to ban the user?
1 hour 1 day 100 years