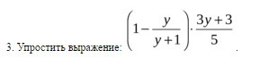
• Задачка на картинке. Просто ответ не нужен, нужно решение.

    question img

Ответы 2

  • В любом случае спасибо)
    • Автор:

      dollqsgy
    • 6 лет назад
    • 0
  • Надеюсь, что помогла.
    answer img
  • Добавить свой ответ

Еще вопросы

Войти через Google

или

Забыли пароль?

У меня нет аккаунта, я хочу Зарегистрироваться

How much to ban the user?
1 hour 1 day 100 years