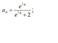
• Помогите доказать ограниченность последовательности

    question img

Ответы 1

  • \frac{e^{7n}}{e^{7n} + 2} = 1 - \frac{2}{e^{7n}} < 1, при любых натуральных n
  • Добавить свой ответ

Войти через Google

или

Забыли пароль?

У меня нет аккаунта, я хочу Зарегистрироваться

How much to ban the user?
1 hour 1 day 100 years