• даю 38 балов помогите пжл
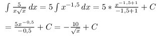
    Правильно ли найден интеграл ?
    И если да как получились 10 делить на корень из х ?
    кликните на картинку

    question img

Ответы 1

  • объяснения смотри на фотографии
    answer img
  • Добавить свой ответ

Войти через Google

или

Забыли пароль?

У меня нет аккаунта, я хочу Зарегистрироваться

How much to ban the user?
1 hour 1 day 100 years