• Даю 39 баллов !!!
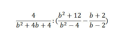
    1) Упростите выражение. Прикреплён 4/(b^2+4b+4):((b^2+12)/(b^2-4)-(b+2)/(b-2))
    Решить подробно. Ответ -1/(b+2)

    2)Cократить дробь (9b^2-18by)/(〖(5y-3b)〗^2+y(5y-3b)) Смотреть в файлах !
    Решить всё подробно. Ответ 3b/(3b-5y)

    Решите срочно пожалуйста умоляю. P.S. заранее спасибо

    question img
    question img

Ответы 2

  • Большое спасибо
  • 1. 4/(b+2)^2 : (b^2+12-(b+2)^2)/(b^2-4) = 4/(b+2)^2 : (b^2+12 - b^2 - 4 - 4b)/((b+2)(b-2)) = 4/(b+2)^2 : (8-4b)/((b+2)(b-2)) = 4*(b+2)(b-2)/((b+2)^2 * (2-b)*4) = -1/(b+2)2. (9b^2-18by)/((5y-3b)(5y-3b+y)) = 9b(b-2y)/3(5y-3b)(2y-b) = -3b/(5y-3b) = 3b/(3b-5y)
    • Автор:

      ollie76
    • 6 лет назад
    • 0
  • Добавить свой ответ

Войти через Google

или

Забыли пароль?

У меня нет аккаунта, я хочу Зарегистрироваться

How much to ban the user?
1 hour 1 day 100 years