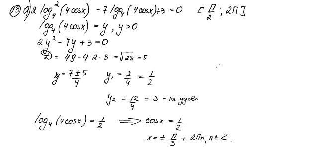
• Помогите отобрать корни на промежутке от [п/2 до 2П]
    Задание на фото,срочно нужно

    question img

Ответы 2

  • решение во вложенном файле
    answer img
    • Автор:

      perry
    • 6 лет назад
    • 0
  • см. фото 1чертим числовую окружность,отмечаем нужный промежуток (заштрихованная область), расставляем корни (двигаясь против часовой стрелки), в данный промежуток входит только один корень 5π/3ответ:5π/3 если не понимаешь как работать с окружностью, то можно найти и другим способом (фото 2 и фото 3 ) 
    answer img
    • Автор:

      cat3kpv
    • 6 лет назад
    • 0
  • Добавить свой ответ

Еще вопросы

Войти через Google

или

Забыли пароль?

У меня нет аккаунта, я хочу Зарегистрироваться

How much to ban the user?
1 hour 1 day 100 years