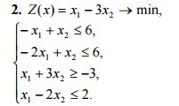
• Решить задачи линейного программирования графическим методом.

    question img

Ответы 2

  • Пишите, если будут вопросы.
  • Графики во вложении. Область допустимых значений х1(горизонтальная ось) и х2 (вертикальная ось) заштрихована. Минимальное значение z достигается по верхней границе заштрихованной области. Сорри, что поздно.
    answer img
    • Автор:

      carmden
    • 6 лет назад
    • 0
  • Добавить свой ответ

Войти через Google

или

Забыли пароль?

У меня нет аккаунта, я хочу Зарегистрироваться

How much to ban the user?
1 hour 1 day 100 years