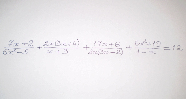
• Решите очень простое дробно-рациональное уравнение

    question img

Ответы 6

  • Молодец в квадрате!!!!! Мне очень приятно, что есть дети, которые заняты полезным для себя и окружающих делом. Вам за это огромное спасибо! Наверное Ваши родители в восторге тем, чем Вы занимаетесь. И Ваше уравнение классное, намного красивее, чем мое. Продолжай заниматься математикой, поскольку только математика-кристально-честная наука. Я надеюсь, что мы и далее продолжим общение насчет математики. Желаю всего наилучшего !
  • Спасибо на добром слове! Вы говорили про 3 способа решать ваше уравнение. Хотелось бы про них узнать.
  • Первый способ Вы показали, второй способ состоит в том, что к первой дроби прибавим 1, из второй дроби вычитаем 1, к третьей дроби прибавим 1 и из третьей дроби вычитаем 13 и все это приравниваем к нулю, т.е число 12 переводим в левую часть таким образом число -12=1-1+1-13. Третий способ решения есть в моем учительском сайте в интернете.Если Вам интересно посмотрите.
    • Автор:

      rose13
    • 6 лет назад
    • 0
  • Да, с единицами, пожалуй самое быстрое.
  • В Вашем решении мне лично всё нравится, Вы даже оформление решения как-то по своему и очень логично описываете, что похвально!
  • Сумма 1-ой и 2-ой дроби после приведения к общему знаменателю равна \frac{36x^4+48x^3-23x^2-17x+6}{(x+3)(6x^2-5)}.Сумма 3-ей и 4-ой минус 12 равна\frac {36x^4+48x^3-23x^2-17x+6}{2x(3x-2)(1-x)}
.Видим, что числители равны, т.е. надо решить уравнение36x^4+48x^3-23x^2-17x+6=0.Младший коэффициент после деления на 36 равен 1/6, поэтому возникает подозрение, что корни 1/2 или 1/3. Действительно, оба подходят. Делением на 2х-1 и на 3х-1 находятся еще два корня -3/2 и -2/3.Теперь остается решить \frac{1}{(x+3)(6x^2-5)}+\frac{1}{2x(3x-2)(1-x)}=0. После приведения к общему знаменателю, числитель равен 28x²-9x-15, а его корни равны (9+√1761)/56 и (9-√1761)/56.
  • Добавить свой ответ

Войти через Google

или

Забыли пароль?

У меня нет аккаунта, я хочу Зарегистрироваться

How much to ban the user?
1 hour 1 day 100 years