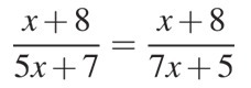
• Решите уравнение .Если уравнение имеет более одного корня, в ответе запишите больший из корней.

    question img

Ответы 1

  • (x+8)/(5x+7)=(x+8)/(7x+5)(x+8)(7x+5)=(x+8)(5x+7)7x²+5x+56x+40=5x²+7x+40x+567x²+61x+40-5x²-47x-56=02x²+14x-16=0D=196-4*2*(-16)=324x1=(-14+18)/4=1x2=(-14-18)/4=-8Ответ: уравнение имеет два корня, больший из них х1=1.
    • Автор:

      lovely88
    • 6 лет назад
    • 0
  • Добавить свой ответ

Войти через Google

или

Забыли пароль?

У меня нет аккаунта, я хочу Зарегистрироваться

How much to ban the user?
1 hour 1 day 100 years