• Забыла как решать сис. ур., помогите, пожалуйста! Срочно, хотя бы два!

    question img

Ответы 2

  • Большое спасибо! <3
    • Автор:

      bryancruz
    • 6 лет назад
    • 0
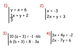
  • 1{y=x+6{1/3*x+y=21/3*x+x+6=21 1/3*x=2-61 1/3*x=-4x=-4:1 1/3=-4*3/4x=-3y=-3+6=3Ответ (-3;3)2{x=-3{2x+y=32*(-3)+y=3y=3+6=9Ответ (-3;9)3{10(a+3)=-1-6b⇒10a+30=-1-6b⇒10a+6b=-31{6(b+3)=8-3a⇒6b+18=8-3a⇒3a+6b=-10отнимем от 1 уравнения 27a=-21a=-33*(-3)+6b=-106b=-10+96b=-1b=-1/6Ответ (-3;-1/6)4{3x+4y=-2/*7⇒21x+28y=-14{2x-7y=6/*4⇒8x-28y=24прибавим29x=10x=10/2930/29+4y=-24y=-2-30/29=-88/29y=-88/29:4y=-22/29Ответ (10/29;-22/29)2x-7y=6
    • Автор:

      charles20
    • 6 лет назад
    • 0
  • Добавить свой ответ

Еще вопросы

Войти через Google

или

Забыли пароль?

У меня нет аккаунта, я хочу Зарегистрироваться

How much to ban the user?
1 hour 1 day 100 years