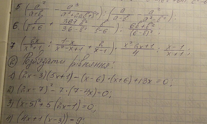
• помогите решить 5,6 и 7 примеры с дробями!!))помогите,пожалуйста!!)))очень нужно решить!!!))))хелп!)))

    question img

Ответы 5

  • меня интересует 6 пример 1 действие.как появилась дробь 367б^2/[(6-б)(6+б)]?
  • может,вы хотели написатб 36+б^2
    • Автор:

      pirate
    • 6 лет назад
    • 0
  • ????
  • ой,я поняла)неправильно списала
    • Автор:

      yair
    • 6 лет назад
    • 0
  • 51)a²/(a+b)-a³/(a+b)²=(a³+a²b-a³)/(a+b)²=a²b/(a+b)²2)a/(a-b)-a²/[(a-b)(a+b)]=(a²+ab-a²)/[(a-b)(a+b)]=ab/[(a-b)(a+b)]3)a²b/(a+b)²*[(a-b)(a+b)]/ab=a(a-b)/(a+b)61)b/(b+6)+367b²/[(6-b)(6+b)+b/(6-b)=(6b-b²+6b+b²)/[(6-b)(6+b)]==(367b²+12b/[(6-b)(6+b)]2)b(367b+12)/[(6-b)(6+b)]*(6-b)²/[b(6+b)]=(367b+12)/(6+b)²71)2x/[(x+1)(x²-x+1)]*(x²-x+1)/(1-x)=2x/(1-x²)2)2x/[(1-x)(1+x)-2/(1-x)=(2x-2-2x)/(1-x²)=-2/(1-x²)=2/(x²-1)3)2/[(x-1)(x+1)]*(x-1)²/4*(x+1)/(x-1)=1/2
  • Добавить свой ответ

Войти через Google

или

Забыли пароль?

У меня нет аккаунта, я хочу Зарегистрироваться

How much to ban the user?
1 hour 1 day 100 years