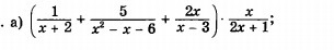
• Помогите упростить выражение. Подробно, пожалуйста. Очень хочется понять :(

    question img

Ответы 1

  • Огромное спасибо! Всё поняла)
    • Автор:

      karen25
    • 6 лет назад
    • 0
  • Добавить свой ответ

Войти через Google

или

Забыли пароль?

У меня нет аккаунта, я хочу Зарегистрироваться

How much to ban the user?
1 hour 1 day 100 years