• решите пожалуйста уравнения через дискриминант !!!!!!!!!!!!!!

    question img

Ответы 6

  • СПАСИБО ОГРОМНОЕЕЕ
    • Автор:

      isla
    • 6 лет назад
    • 0
  • СПАСИБО
  • Не за что..)))
    • Автор:

      vicente34
    • 6 лет назад
    • 0
  • Не за что)
    • Автор:

      blackie
    • 6 лет назад
    • 0
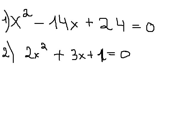
  • 1.x^2-14x+24=0\\
D= 14^2-4*24=100\\
x_1=\frac{14-10}{2}=\frac{4}{2}=2\\
x_2=\frac{14+10}{2}=\frac{24}{2}=122.2x^2+3x+1=0\\
D=3^2-4*2=9-8=1\\
x_1=\frac{-3-1}{4}=\frac{-4}{4}=-1\\
x_2=\frac{-3+1}{4}=\frac{-2}{4}=-0.5
  • 1. x² - 14x + 24 = 0    D = b² - 4ac = 196 - 96 = 100    x₁ = (-b+√D)/2a        x₂ = (-b-√D)/2a     x₁ = (14 + 10)/2          x₂ = (14 - 10)/2    x₁ = 12                        x₂ = 22. 2x² + 3x + 1 = 0    D = b² - 4ac = 9 - 8 = 1    x₁ = (-b+√D)/2a        x₂ = (-b-√D)/2a    x₁ = (-3 + 1)/4             x₂ = (-3 - 1)/4    x₁ = - 0,5                     x₂ = -1 
  • Добавить свой ответ

Войти через Google

или

Забыли пароль?

У меня нет аккаунта, я хочу Зарегистрироваться

How much to ban the user?
1 hour 1 day 100 years