• Упростить выражения со степенями, срочно пожалуйста!

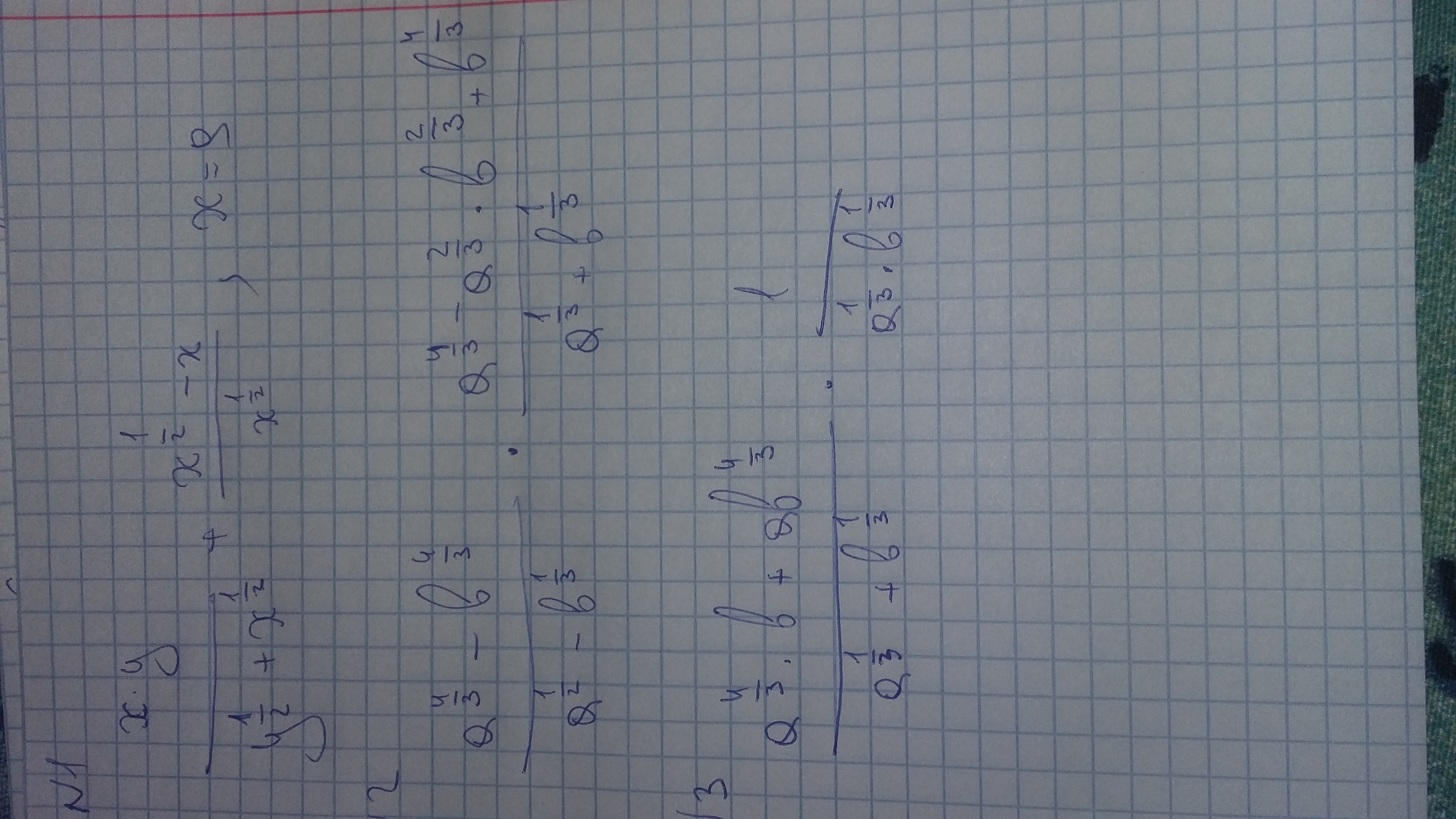
    question img

Ответы 5

  • а третий не решала?
    • Автор:

      orozco
    • 6 лет назад
    • 0
  • сейчас 3) сделаю
  • спасибо
    • Автор:

      jude
    • 6 лет назад
    • 0
  • будь ласка
    • Автор:

      briana
    • 6 лет назад
    • 0
  • пожалуйста
  • Добавить свой ответ

Войти через Google

или

Забыли пароль?

У меня нет аккаунта, я хочу Зарегистрироваться

How much to ban the user?
1 hour 1 day 100 years