помогите пожалуйста!)
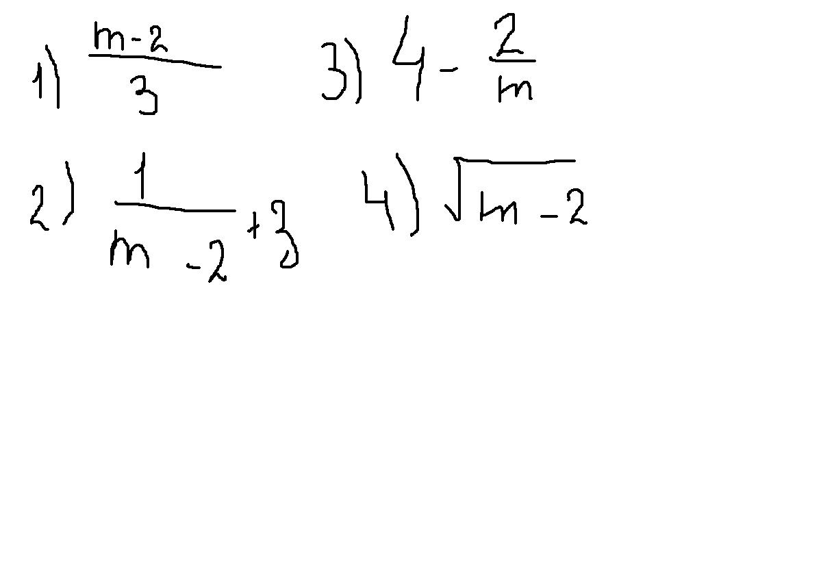
укажите выражение, которое имеет смысл при всех значениях m.
Это выражение под номером 1.2. m не равен 23. m не равен 04. m болеше или равен 2
Автор:
louisДобавить свой ответ
в школу пришел врач и принес для прививки 0,25 кг сыворотки сколько он может сделать прививок если для каждой надо 0,002 кг
Предмет:
МатематикаАвтор:
carmeloОтветов:
Смотреть
зная длину своего шага, человек может приблеженно подсчитать пройденное им расстояние s по формуле s = nl, где n- число шагов, l-длина шага. какое расстояние прошел человек, если l= 50 см, n=1200,? ответ выразите в км. Следую по формуле получается 60000, но в ответах 0.6 объясните почему так?
Предмет:
МатематикаАвтор:
vinnytajqОтветов:
Смотреть
Найди глагола отвечающие на 2 спряжения!
Среди них найди глаголы 2 спряжения
Любила
Найти
Смотри
Стелится
Бросается
Отыскивать
Отыскать
Приходиться
Бегать
Окажется
Полакать
Выкупаться
Вымокли
Держаться
Охотятся
Колется
Поймёшь
Сделает
Отыщет
Пропадёшь
Предмет:
Русский языкАвтор:
myron5uvrОтветов:
Смотреть
В треугольнике ABC угол C равен 90,AB=10,AC=8.Найдите tg A