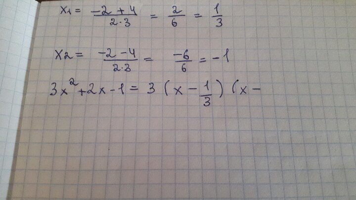
• Нужно разложить трехчлен 3x^2+2x-1
    Я все сделал почти , но в конце надо что-то доделать, что забыл...
    Где в на 2 фотографии в конце 3x^2+2x-1=3(x.....) вот там туплю

    question img
    question img

Ответы 4

  • А куда мы тройку деваем
    • Автор:

      irvinpgvu
    • 6 лет назад
    • 0
  • эту тройку умножаем на выражение в первой скобке, поэтому мы избавились от дроби 1/3 и получили 3х-1
  • Ой, как тупанул... Понял) Вроде хорошист , а такие ошибки делаю
    • Автор:

      tally
    • 6 лет назад
    • 0
  • Нууу, всё правильно, ax²+bx+c=a(x-x1)(x-x2)=3(x-1/3)(x-(-1))=3(x-1/3)(x+1)=(3x-1)(x+1)
  • Добавить свой ответ

Войти через Google

или

Забыли пароль?

У меня нет аккаунта, я хочу Зарегистрироваться

How much to ban the user?
1 hour 1 day 100 years