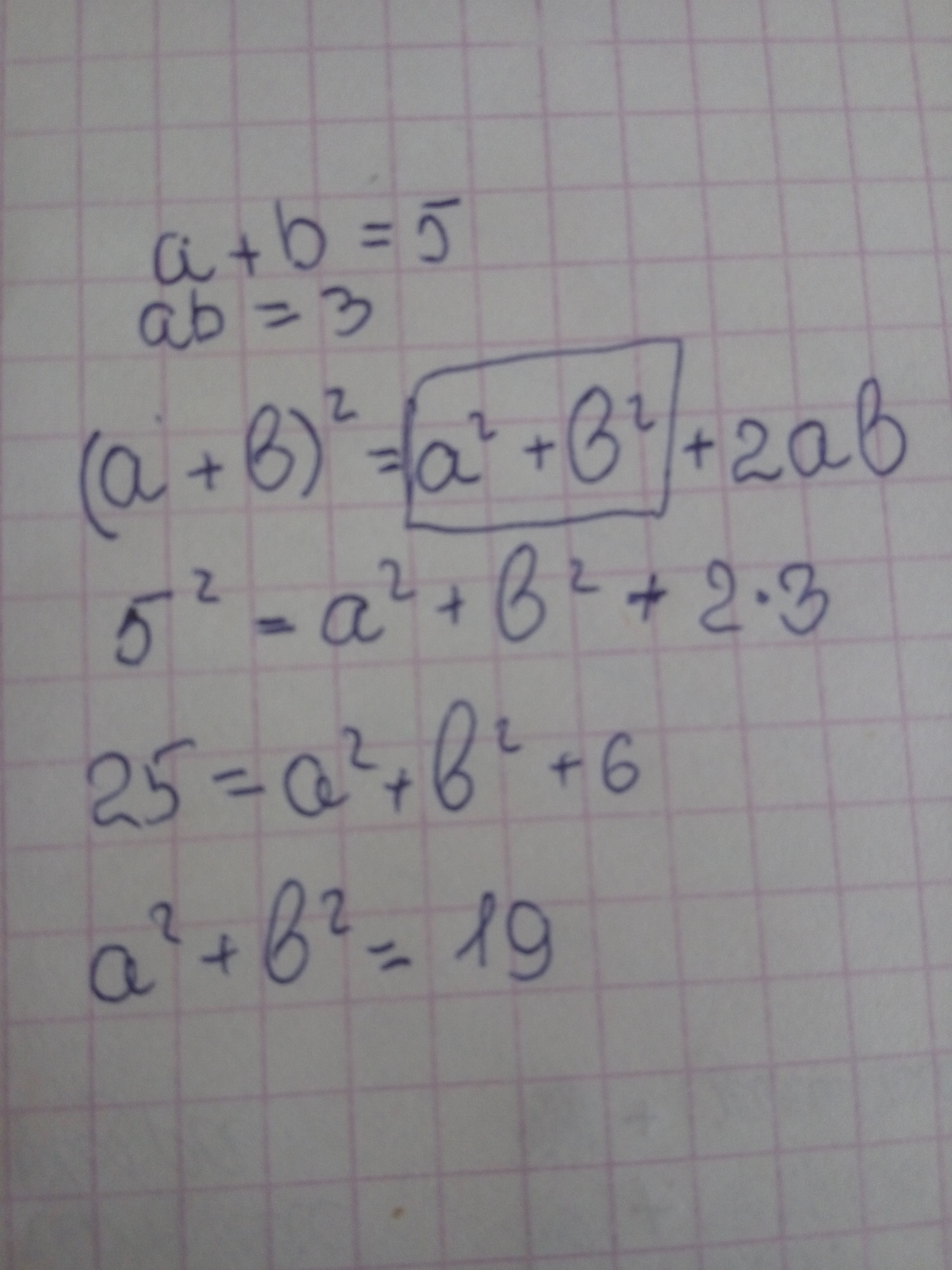
• Відомо що a+b=5, ab=3. Знайдіть значення виразу a^2+b^2

Ответы 1

  • вооооооооооооот так вот
    answer img
  • Добавить свой ответ

Войти через Google

или

Забыли пароль?

У меня нет аккаунта, я хочу Зарегистрироваться

How much to ban the user?
1 hour 1 day 100 years