• помогите решить пожалуйста
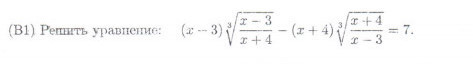
    (x-3)((x-3)/(x+4))^(1/3)-(x+4)((x+4)/(x-3))^(1/3)=7

    question img

Ответы 2

  • Большое спасибо
    • Автор:

      lulu89
    • 6 лет назад
    • 0
  • Решение прицеплено в картинке
    answer img
    • Автор:

      cole58
    • 6 лет назад
    • 0
  • Добавить свой ответ

Войти через Google

или

Забыли пароль?

У меня нет аккаунта, я хочу Зарегистрироваться

How much to ban the user?
1 hour 1 day 100 years